السبت 06 ديسمبر 2025 الموافق 15 جمادى الثانية 1447
رئيس التحرير
شيماء جلال
عاجل
عرب وعالم

إثيوبيا تستعين بشركة أمريكية لمواجهة الاضطرابات الداخلية وأزمة سد النهضة

الرئيس نيوز

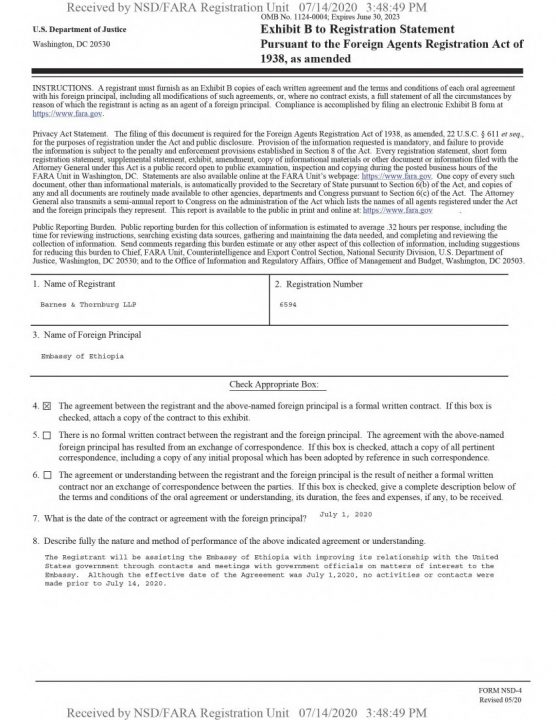
أبرمت إثيوبيا عقدًا مع شركة ضغط أمريكية في محاولة لتكثيف نفوذها لدى الإدارة الأمريكية وسط تصاعد التوترات الدولية بشأن مشروع سد النهضة.

وكانت وزارة الخارجية الأمريكية أعلنت أنها ستقطع 100 مليون دولار من المساعدات الخارجية لإثيوبيا، ردًا على قيام السلطات هناك بملء خزان سد النهضة بقرار أحادي من جانب واحد. 

ووفقًا للوثائق التي نشرتها صحيفة إنديانا دايلي نيوز الأمريكية، وقعت السفارة الإثيوبية في واشنطن العاصمة عقدًا مدته ثلاثة أشهر، بقيمة 130 ألف دولار، مع شركة المحاماة "بارنز أند ثورنبرج" ومقرها إنديانا، والتي تساعد العملاء بنشاط في الاحتياجات ذات الصلة بعلاقات الحكومة الفيدرالية، بما في ذلك الدفاع عن مصالح العملاء (إثيوبيا في هذه الحالة) مع أعضاء وموظفي مجلس النواب ومجلس الشيوخ والمكتب التنفيذي للرئيس ومكتب نائب الرئيس، بالإضافة إلى العديد من الوكالات الفيدرالية".

ومن المتوقع أن تساعد الشركة الأمريكية أديس أبابا والسفارة الإثيبوية في واشنطن في ترتيب الاجتماعات مع المسؤولين الحكوميين حول المسائل التي تهم السفارة، والمساعدة في التخطيط الاستراتيجي والدعوة لتلك المصالح.

ويأتي العقد في الوقت الذي تواجه فيه إثيوبيا تحديات داخلية وخارجية متعددة، أبرزها نزاع سد النهضة، والعنف العرقي في أكبر أقاليمها، أوروميا، عقب اغتيال مطرب الأورومو البارز هاتشالو هونديسا. وتتعامل الدولة أيضًا مع نزاع علني بين رئيس وزرائها أبي أحمد والحزب الحاكم فيما يتعلق بمنطقة تيجراي ذات الأهمية الاستراتيجية.

وتعرضت حكومة أبي لانتقادات بسبب تأجيلها الانتخابات التي طال انتظارها حتى العام المقبل، بسبب مخاوف من جائحة فيروس كورونا، واعترضت على القرار حكومة إقليم تيجراي التي قررت المضي قدما في تنظيم انتخاباتها الخاصة للبرلمان يوم الأربعاء.

وسعى الرئيس الأمريكي دونالد ترامب للتوسط في اتفاق ثلاثي، وهو اتفاق فشل بعد أن رفضت إثيوبيا التوقيع، وبعد ذلك، قال وزير الخزانة الأمريكي ستيفن منوتشين إن ملء السد "لا ينبغي أن يتم بدون اتفاق بين الدول الثلاث".